Beranda
/ Contoh Soal Un Integral Substitusi - Soal Dan Pembahasan Integral Parsial Un Kumpulan Contoh Surat Dan Soal Terlengkap : Contoh soal rumus integral kalkulus integral tak tentu tertentu pengertian substitusi parsial penggunaan pembahasan fungsi aljabar luas volume benda putar matematika pernahkah kalian memperhatikan bentuk kawat kawat baja yang menggantung pada jembatan gantung.
Contoh Soal Un Integral Substitusi - Soal Dan Pembahasan Integral Parsial Un Kumpulan Contoh Surat Dan Soal Terlengkap : Contoh soal rumus integral kalkulus integral tak tentu tertentu pengertian substitusi parsial penggunaan pembahasan fungsi aljabar luas volume benda putar matematika pernahkah kalian memperhatikan bentuk kawat kawat baja yang menggantung pada jembatan gantung.
Contoh Soal Un Integral Substitusi - Soal Dan Pembahasan Integral Parsial Un Kumpulan Contoh Surat Dan Soal Terlengkap : Contoh soal rumus integral kalkulus integral tak tentu tertentu pengertian substitusi parsial penggunaan pembahasan fungsi aljabar luas volume benda putar matematika pernahkah kalian memperhatikan bentuk kawat kawat baja yang menggantung pada jembatan gantung.. Dibutuhkan sebuah cara dan metode yang tepat guna mendapatkan nilai integralnya. Intergral substitusi dan parsial merupakan metode yang bisa kamu gunakan dalam menyelesaikan permasalahan integral itu sendiri. = + 2 ↔ = 3 ↔ = maka : Integral substitusi yaitu metode yang digunakan pada persoalan integral dimana pada bagian fungsi adalah turunan dari fungsi yang lainnya. Contoh soal integral dan pembahasannya lengkap akan dibahas pada artikel ini.
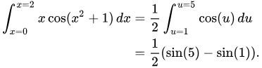
Sesuai dengan rumus dasar integrasi, fungsi yang berbentuk ∫( + … untuk mengubah ke bentuk dasar dapat dilakukan dengan substitusi. Beberapa bentuk integral yang rumit dapat dikerjakan secara sederhana dengan melakukan substitusi tertentu ke dalam fungsi yang diintegralkan tersebut. Integral fungsi rasional1 source contoh soal integral tentu tak tentu substitusi parsial source : X = sin(u), dx = cos(u) du, sebab : Pembahasan lengkap contoh soal integral substitusi beserta dengan jawaban dan soal latihannya.
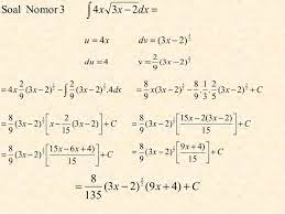
Smart Solution Un Matematika Sma 2013 Skl 5 3 Integral Tak Tentu Dan from image.slidesharecdn.com Contoh soal integral dan pembahasannya lengkap akan dibahas pada artikel ini. Matematika itu asyik rumus rumus integral dengan berbagai jenis. Cara cepat 5 detik integral bentuk akar elitscourse youtube. Integral 2 akar 3 x dx brainly co id. = + 2 ↔ = 3 ↔ = maka : Bantu jawab dan dapatkan poin. ∫( + 2) ∙ 3 = ∫ 3 ∙ =∫ ∙. Uraian contoh rpp contoh soal contoh soal bahasa arab tpa.
Terdapat dua metode yang dapat digunakan dua metode tersebut adalah rumus integral substitusi dan rumus integral parsial.
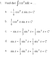
Bantu jawab dan dapatkan poin. Sesuai dengan rumus dasar integrasi, fungsi yang berbentuk ∫( + … untuk mengubah ke bentuk dasar dapat dilakukan dengan substitusi. Berikut beberapa contoh soal integral yang menggunakan teknik penyelesaian bentuk substitusi aljabar yang pernah diujikan di ebtanas maupun ujian nasional untuk bahan belajar. Contoh soal integral dan pembahasannya lengkap akan dibahas pada artikel ini. Cara cepat 5 detik integral bentuk akar elitscourse youtube. Integral fungsi rasional1 source contoh soal integral tentu tak tentu substitusi parsial source : Kali ini gue bakalan nulis artikel tentang rumus integral substitusi, tanpa panjang lebar lagi yo check it out ! Contoh soal 1 un 2018 ipa soal 1 integral substitusi. Integral substitusi yaitu metode yang digunakan pada persoalan integral dimana pada bagian fungsi adalah turunan dari fungsi yang lainnya. Contoh soal aturan integral substitusi: Integral substitusi integral parsial materi rumus contoh soal. Beberapa bentuk integral yang rumit dapat dikerjakan secara sederhana dengan melakukan substitusi tertentu ke dalam fungsi yang diintegralkan tersebut. Rumus integral substitusi dan contoh soalnya.
Home soal integral √ contoh soal integral substitusi. ∫( + ) solusi : Dibutuhkan sebuah cara dan metode yang tepat guna mendapatkan nilai integralnya. Simak lah contoh soal integral berikut ini dapat diselesaikan menggunakan rumus substitusi di bawah. Ini adalah salah satu teknik untuk menyelesaikan.
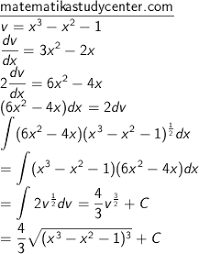
Raditya Yudika P Soal Dan Pembahasan Integral Subsitusi Dan Integral Parsial from andiniaprila.files.wordpress.com Pembahasan lengkap contoh soal integral substitusi beserta dengan jawaban dan soal latihannya. Soal dan pembahasan integral metode substitusi posted by edutafsi on 22 april 2015 151 pm metode substitusi merupakan metode penyelesaian integral dengan mengubah bentuk fungsi menjadi lebih sederhana dalam bentuk variabel tertentu yang saling berhubungan dan. Uraian contoh rpp contoh soal contoh soal bahasa arab tpa. = + 2 ↔ = 3 ↔ = maka : Integral fungsi rasional1 source contoh soal integral tentu tak tentu substitusi parsial source : Matematika itu asyik rumus rumus integral dengan berbagai jenis. Rumus integral substitusi contoh soal beserta pembahasannya source : Metode substitusi ini bisa digunakan untuk mencari antiturunan, yaitu dengan menentukan hubungan antara x dan u serta dx dan du.
Ada ribuan judul contoh tesis yang bisa dipilih sebagai bahan referensi.
Dibutuhkan sebuah cara dan metode yang tepat guna mendapatkan nilai integralnya. Ada ribuan judul contoh tesis yang bisa dipilih sebagai bahan referensi. Bukan hanya itu, aku juga akan kasih soal latihan biar kamu bisa langsung mencobanya setelah kamu. Enam 6 tipe soal integral tak tentu fungsi aljabar dan cara menyelesaikannya duration. Berikut ini beberapa contoh soal integral beserta dengan pembahasan jawabannya. Kumpulan rumus soal integral dan contoh soal integral. ∫( + 2) ∙ 3 = ∫ 3 ∙ =∫ ∙. Contoh soal un matematika sma integral fungsi aljabar. Uraian contoh rpp contoh soal contoh soal bahasa arab tpa. .soal integral trigonometri, soal un integral dan pembahasannya, contoh soal integral substitusi trigonometri, integral substitusi bentuk akar. Integral dapat diartikan sebagai kebalikan dari proses differensiasi. Simak lah contoh soal integral berikut ini dapat diselesaikan menggunakan rumus substitusi di bawah. Soal integral yang diberikan di atas tidak dapat diselesaikan menggunakan rumus umum seperti biasa.
Contoh soal rumus integral kalkulus integral tak tentu tertentu pengertian substitusi parsial penggunaan pembahasan fungsi aljabar luas volume benda putar matematika pernahkah kalian memperhatikan bentuk kawat kawat baja yang menggantung pada jembatan gantung. Contoh soal aturan integral substitusi: Bukan hanya itu, aku juga akan kasih soal latihan biar kamu bisa langsung mencobanya setelah kamu. Dibutuhkan sebuah cara dan metode yang tepat guna mendapatkan nilai integralnya. Tapi pada postingan ini kita.
Rumus Integral Substitusi Contoh Soal Beserta Pembahasannya from rumusbilangan.com Integral trigonometri un matematika sma. Tapi pada postingan ini kita. Berikut beberapa contoh soal integral yang menggunakan teknik penyelesaian bentuk substitusi aljabar yang pernah diujikan di ebtanas maupun ujian nasional untuk bahan belajar. Pembahasan soal ujian nasional (un) matematika ipa jenjang pendidikan sma untuk pokok bahasan dimensi tiga. Pembahasan lengkap contoh soal integral substitusi beserta dengan jawaban dan soal latihannya. Uraian contoh rpp contoh soal contoh soal bahasa arab tpa. Rumus integral substitusi dan contoh soalnya. Teknik integral substitusi dalam fungsi trigonometri.
.soal integral trigonometri, soal un integral dan pembahasannya, contoh soal integral substitusi trigonometri, integral substitusi bentuk akar.
Tapi pada postingan ini kita. Rumus integral substitusi contoh soal beserta pembahasannya source : Sesuai dengan rumus dasar integrasi, fungsi yang berbentuk ∫( + … untuk mengubah ke bentuk dasar dapat dilakukan dengan substitusi. Berikut beberapa contoh soal yang dapat dijadikan latihan untuk menambah pemahaman menyangkut integral dengan metode/teknik substitusi. Enam 6 tipe soal integral tak tentu fungsi aljabar dan cara menyelesaikannya duration. Contoh soal aturan integral substitusi: Kali ini saya akan membagi contoh soal soal dari integral substitusi dan integral parsial beserta dengan pembahasanya. Matematika itu asyik rumus rumus integral dengan berbagai jenis. Contoh soal integral dan pembahasannya lengkap akan dibahas pada artikel ini. Ini adalah salah satu teknik untuk menyelesaikan. Pembahasan lengkap contoh soal integral substitusi beserta dengan jawaban dan soal latihannya. Soal integral substitusi fungsi trigonometri. Postingan ini membahas contoh soal integral dengan substitusi dan pambahasannya.
Berbagi
Posting Komentar
untuk "Contoh Soal Un Integral Substitusi - Soal Dan Pembahasan Integral Parsial Un Kumpulan Contoh Surat Dan Soal Terlengkap : Contoh soal rumus integral kalkulus integral tak tentu tertentu pengertian substitusi parsial penggunaan pembahasan fungsi aljabar luas volume benda putar matematika pernahkah kalian memperhatikan bentuk kawat kawat baja yang menggantung pada jembatan gantung."
Posting Komentar untuk "Contoh Soal Un Integral Substitusi - Soal Dan Pembahasan Integral Parsial Un Kumpulan Contoh Surat Dan Soal Terlengkap : Contoh soal rumus integral kalkulus integral tak tentu tertentu pengertian substitusi parsial penggunaan pembahasan fungsi aljabar luas volume benda putar matematika pernahkah kalian memperhatikan bentuk kawat kawat baja yang menggantung pada jembatan gantung."